Ihre Position: Haus Seite >> Tungsten Kupfer Legierung
Tungsten Kupfer Gewicht Golf Anlage
| Beschreibung: | |
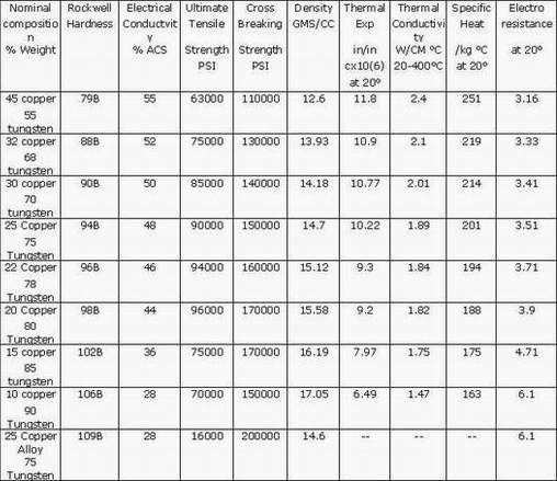
Diese Refrakt?rmetall Verbundwerkstoffe sind eine Kombination aus Wolfram mit Kupfer oder Silber kombiniert. Der Herstellungsprozess ist die Feuerfest-, Sinter die kompakte drückte bei einer hohen Temperatur drücken und infiltrieren mit Kupfer oder Silber. All dies wird unter kontrollierten Bedingungen sehr eng gemacht. Das Ergebnis ist eine relativ harte Materialien mit überlegenen Bogen-und Verschlei?best?ndigkeit, hohe Physikalische Punkt Eigenschaften bei erh?hten Temperaturen und gute elektrische und thermische Leitf?higkeit.![]() |
|





sales@chinatungsten.com